Warning: count(): Parameter must be an array or an object that implements Countable in /home/xn80aigi/public_html/components/com_k2/models/item.php on line 877
Вторник, 23 августа 2016 12:27

Чемпионат Беларуси по аджилити 4 сентября 2016 г.

Автор
Оцените материал
(0 голосов)

flag RB s"ЧЕМПИОНАТ БЕЛАРУСИ"

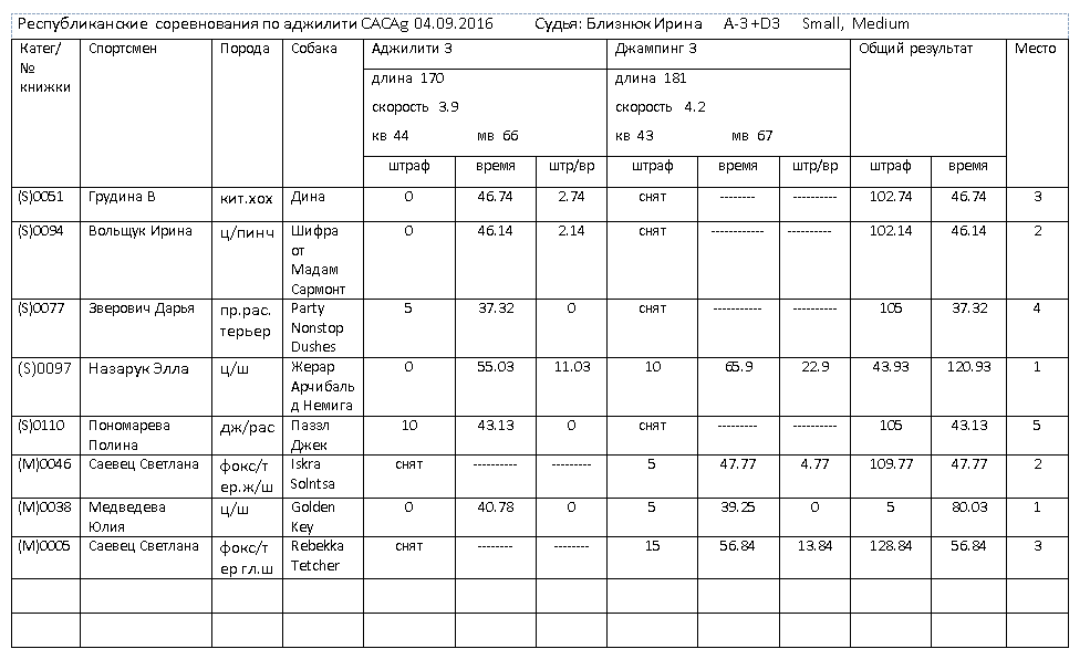
04.09.2016г командой IKS-team  были проведены Республиканские соревнования по аджилити CACag совместно с рейтинговыми соревнованиями.

Спонсоры: ROYAL CANIN

Судьи:

Чемпионат Беларуси - Близнюк Ирина
Рейтинговые соревнования - Медведева Юлия

Перейти на обсуждение на форуме >>

Награждение соревнований:

Протоколы соревнований:


Warning: count(): Parameter must be an array or an object that implements Countable in /home/xn80aigi/public_html/components/com_k2/templates/default/item.php on line 248
Прочитано 3759 раз Последнее изменение Вторник, 09 мая 2017 11:56

Оставить комментарий

Убедитесь, что вы вводите (*) необходимую информацию, где нужно
HTML-коды запрещены

log2 logo doktor vik Лого для сайта   

 

 

Logo Unica 2

 

 

 

Logo Beeztees

 

 

 

Logo Berkley

 

 

 

Logo Sanal

 

 

 

Logo Hills 4